Scalar Hysteresis Measurement System in LabVIEW
(Dr. Miklós Kuczmann) |
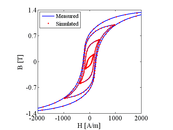
| The scalar hysteresis measurement aims to obtain data of scalar hysteresis characteristics.
Scalar characteristics can be assumed in some special cases, like inside a toroidal shape core,
and the measured data can be used to identify a scalar hysteresis model.
The system is controlled by a LabVIEW program running on a computer,
the current of the primary coil as well as the induced voltage of the
secondary coil have been measured by LabVIEW functions. The noise of measurements
have been eliminated by a procedure based on FFT technique and a simple filtering procedure.
The controll of the magnetic flux density allows us to measure arbitrary flux patterns. |
 |
| Back to top |
|
Vector Hysteresis Measurement System in LabVIEW
(Dr. Miklós Kuczmann) |
| This project deals with the implementation of a Single Sheet Tester with round shaped specimen
(RRSST) to measure the two dimensional vector hysteresis characteristics of ferromagnetic materials.
The measurement system is controlled by a program developed in the frame of LabVIEW. Two voltage
controlled current generators are used to realize two dimensional magnetic field inside the stator of the motor.
The aim is to prepare well applicable measured data for the identification of vector hysteresis models
(e.g. vector Preisach model). The Finite Element Method has been used in the design phase of the preparation. |
| Presenation |
|
|
| Back to top |
|
Simulation of ferromagnetic hysteresis
(Dr. Miklós Kuczmann) |
| The application of ferromagnetic hysteresis models in numerical field analysis methods, e.g.
in the Finite Element Method, desires fast as well as efficient hysteresis models. The aim of this
research is to implement fast hysteresis models, which can simulate the phenomenon as adequate as possible.
The scalar and vector Preisach hysteresis models are in the focus using parallel computational techniques. |
  |
  |
| Back to top |
|
Nonlinear Finite Element Method in magnetics
(Dr. Miklós Kuczmann) |
| This research aims to develop fast algorithms, which can be used to solve nonlinear static magnetic field
problems and nonlinear eddy current field problems. The nonlinear electromagnetic field problems can be solved
by iterative techniques, such as the fixed point method and the Newton-Raphson method. The slow fixed point
method can be speed up by an overrelaxation procedure, and the problems of Newton-Raphson technique can be
solved by underrelaxation. The combination of the polarization formulation and the Newton-Raphson methods
points to a new and efficient nonlinear solver. |
 |
 |
| Back to top |
|
COMSOL Multiphysics and MATLAB in the weak formulations of magnetic field problems
(Dr. Miklós Kuczmann) |
| The weak formulations of the potential formulations of static magnetic field problems
and eddy current field problems can be used when applying the Finite Element Method in the numerical field
analysis. COMSOL Multiphysics has a very attractive solution to implement the weak formulations.
The combination of COMSOL Multiphysics and MATLAB can be used efficiently to solve time dependent and nonlinear field problems. |
 |
|
JAVA Software for Analyzing, Editing, and Real-Time Testing Networks and Systems
(Éva Katona) |
| The current work of this project is implementing a JAVA (Eclipse) program, which can edit and
analyze Kirchhoff type and signal flow type networks. The program has an easy to use graphical interface,
which includes all the common functions what the other circuit editor applications can do. The first
analysis points, calculating nodal potentials, currents, voltages and the powers of all components has
been implemented. Now the implementation of the other analysis points are in focus. |
 |
 |
|
Movie 1 (547 MB)
Movie 2 (249 MB)
Movie 3 (229 MB) |
| Back to top |
|
Nondestructive testing of ferromagnetic materials
(Gergely Kovács) |
| The aim of nondestructive testing methods is to obtain some information about the
specimen under test without any physical impression of the material. Here, only ferromagnetic materials
have been used in the measurements. One of these methods is the so-called Magnetic Flux Leakage (MFL) method,
which detects the cracks by the help of the magnetic field supplied by a current source.
This research work has two parts. The first one is to build up a Magnetic Flux Leakage based
nondestructive testing system in our laboratory, the second is to measure manufactured flaws in a
ferromagnetic material, and to simulate this system by FEM to find out the order of magnitude of the measured magnetic flux density. |
 |
 |
| Movie 1 |
| Back to top |
|
Finite element formulations with motion
(Dániel Marcsa) |
| This research aims to develop a fast nonlinear motional field formulations, which can
be used to solve nonlinear motional fields by different potential formulations.
The simulation of rotating electrical machines necessitates to take into account the motion of the rotor.
In the two-dimensional finite element analysis one of possibilities to take the rotor motion into account is
the insertion of the motion voltage term v × B (Minkowski-transformation term) into the field equations.
One of the part of this project is the solution of the Problem No. 30a of TEAM workshops. The linear problem
has been solved in the time domain and in the frequency domain by using the A,V – A – potential formulation
with motion, and by using the T,Φ – Φ – potential formulation with motion. The used methods are applied to
compute the fundamental quantities of these induction motors. These are the torque, the power dissipation and the induced voltage.
The nonlinear characteristics of ferromagnetic materials can be handled by the fixed point iterative technique.
|
|
 |
| Back to top |
|
Direct Preisach Hysteresis Model for Finite Element Analysis
(Dániel Marcsa) |
|
This project deals with the numerical analysis of ferromagnetic hysteresis in the laminated media by direct
characteristic. The direct scalar or vector Preisach model is integrated into the two and three dimensional
finite element analysis. The interface between the Preisach model and the finite element formulation is the
fixed point iterative technique.
The main goals of this project are the implementation of the direct model in the nonlinear static magnetic
fields and in the nonlinear eddy current fields, and the numerical analysis of three dimensional laminated
problems e.g. transformers, electrical machines.
The first step in this project is solve the Problem No. 32 of the TEAM Workshops, and the numerical results
are validated by comparison with the experiments.
|
|
 |
| Back to top |
|
Numerical magnetic bearing design and simulation by Finite Element Method
(Dániel Marcsa) |
| This project deals with the design and numerical simulation of a radial active
magnetic bearing (AMB). This bearing is a Y-shaped three-pole magnetic bearing fed by two amplifiers.
The geometry design is based on the analytical computation and numerical optimization. The numerical
optimization is integrated into a nonlinear finite element analysis (FEM). The nonlinearity has been
handled by the Newton-Raphson method. The numerical optimization means the brute-force search and the
Nelder-Mead simplex search algorithm. The results of the two-dimensional FEM simulation have been
compared with the linear and nonlinear three-dimensional simulation of the given bearing geometries.
This comparison is necessary because of the importance of the end-region field effect in the magnetic
bearing simulation. The main goal of this project is to build up the numerical designed magnetic
bearing system and to design the nonlinear digital controller for a Y-shaped three-pole AMB system
to the properly operation.
|
|
| Back to top |
Finite Element Method implemented in JAVA
(István Mészáros) |
| The aim of this project is to implement a FEM software to solve linear and nonlinear static magnetic field problems
and eddy current field problems. Nodal elements as well as vector elements are implemented in two and three dimensions
up to third order approximation. There are several potential formulations, which will be inserted in the software. |
| Back to top |
|
Examination and Development of Radio Frequency Inductors by Using the Finite Element Method
(Zoltán Pólik) |
| The design of inductors is not an easy and cheap task considering the dimensions, the nominal value
of inductance, the quality factor and the impedance of the component. Before the beginning of manufacturing a new type
of inductors, a lot of trial components have to produce, have to measure and have to try out. Finite element modeling
is a well-tried process to examine engineering products before manufacturing them. To reduce the cost and the time of
the design process, in our laboratory a finite element model has been built up to simulate inductors. By using the
built up model development possibilities of inductors can be examined. |
 |
| Back to top |
|
Solving linear eddy current problems by using different potential formulations and Fourier-series
(Zoltán Pólik) |
| This work resulted a study of using two potential formulations – the A* – A formulation, and
the T, Φ – Φ formulation – to solve the TEAM problem No. 27 (Eddy Current NDT and Deep Flaws). A procedure to
determine arbitrary periodic excitation signal by using Fourier series have been also worked out. The numerical
results are compared with the experimental waveforms. The goal of this work was to find the more precise and the
faster formulation and to approximate the response of a linear electromagnetic system, when the excitation is a
periodic signal. The experiences show that the new procedure is faster than the original time stepping method.
|
 |
| Back to top |
|
Size reduction of antennas based on the fractal geometry
(Zoltán Pólik) |
| A fractal is "a rough or fragmented geometric shape that can be split
into parts, each of which is (at least approximately) a reduced-size copy of the whole."
The most exciting property of a fractal is that the length of a wire, or a perimeter of a
two-dimensional figure can be approximately infinite within a given surface area or volume.
The aim of this project is to reduce the size and improve the attributes of antennas based
on fractal geometry, furthermore to design, to prepare, and to examine fractal antennas
based on the known fractals, Koch curve, Peano curve, Hilbert curve, Lévi C curve,
Gosper curve Sierpinski triangle, Sierpinski carpet, etc.
|
 |
  |
| Back to top |
|
Solving the wave equation by the finite difference method
(Géza Hegedűs) |
| The aim of the project is to analyze and to realize iterative methods to solve electromagnetic
field problems. The finite difference method is used to solve wave equation applying improved hardware and software
techniques, such as parallel computation.
|
 |
| Back to top |
|
Modeling of surface mounted inductance
(Péter Csurgai) |
| The surface mounted inductors are essential components
of microelectronics. One of the most important parameters is the quality
factor which represents the losses. The aim of the project is working out
an efficient model for the inductor based on Maxwell’s equations and the
finite element method. The calculation of losses can be efficiently worked
out by numerical techniques.
|
 |
| Back to top |
|
Sensitivity calculation of LF RFID Transponder coils
(Péter Csurgai) |
| The aim of the project is to find a method for calculating the
sensitivity of LF RFID Transponder coils. Sensitivity is the most important parameter
of the Transponder coils from the performance point of view. Analogically to the self
inductance effective permeability an effective permeability can be calculated for the
mutual inductance as well. This mutual effective permeability represents how the shape
and the permeability of different materials (e.g. ferrite core) influence the mutual
flux and so the sensitivity inside the inductor.
|
  |
 |
| Back to top |
|
Examination of the electric field of a monopol antenna with measurement, simulation and calculation
(Gergő Gábor) |
| My thesis is about the examination of the electric field of a monopol antenna.
The first section includes the measurement. It was made in the fully anechoic chamber of the University.
The electric field of the antenna was examined by an Amplifier Resource field monitor and sensor.
The antenna was moved with the turntable in the chamber, the distance between the antenna and the
sensor was modified in this way. The results were saved to a CSV file by the computer which managed
the measurement. The second part of the thesis is about the simulation with Comsol Multiphysics
and FEKO. The results of the simulation were archived to use for compare lately. The third part
is an analytical calculation with some expression of the electric field with MatLab program.
The results of the measurement, the two simulations and the calculation were compared. At
the evaluation the results were nearly the same.
/td>
|
  |
| Back to top |